Seite 2 von 3
Re: Kabel, Stecker & Co.
Verfasst: Di 13. Jun 2023, 07:46
von Alfa105
mem hat geschrieben: ↑Mo 12. Jun 2023, 22:58
Was wäre denn der meistverwendete bzw beste durchnittliche Querschnitt für/in unseren Auto?
Kann jetzt hier nur für den Pantera sprechen...habe alle Kabel ausgemessen:
ca
60% 1,5
25% 4,0
Der Rest verteilt sich auf 2,5, 4 und 6
Dazu kommen natürlich noch die Batterie- und Anlasserkabel.
Da beim Pantera vieles analog zum Mustang ist, wird der Unterschied wahrscheinlich nicht groß sein...zumindest im Vergleich zu meinem 73er...
Re: Kabel, Stecker & Co.
Verfasst: Di 13. Jun 2023, 09:03
von mem
Ich meine das es da einen Unterschied gibt vom Querschnitt der Kabel, wie Sie heute berechnet werden und wie Ford sie damals verwendet hat. .. man kann das nicht 1:1 übertragen, das weiß ich noch.....
http://www.sengpielaudio.com/Rechner-querschnitt.htm
Re: Kabel, Stecker & Co.
Verfasst: Di 13. Jun 2023, 10:04
von roland_t5
mem hat geschrieben: ↑Mo 12. Jun 2023, 22:58Was wäre denn der meistverwendete bzw beste durchnittliche Querschnitt für/in unseren Auto?
Der "beste" Querschnitt ist der originale, wozu sollte man diesen ändern? Falls dieser nicht verfügbar ist, musst einen größeren verwenden. Wenn die Verbraucher (Radio, Scheinwerfer) mehr Strom ziehen als original, muss man bedenken, dass die Schalter auch nur gewisse Ströme schalten können, also sind eventuell Relaisschaltungen notwendig, sowie beim H4-Kabelbaum.
Re: Kabel, Stecker & Co.
Verfasst: Di 13. Jun 2023, 11:35
von mem
roland_t5 hat geschrieben: ↑Di 13. Jun 2023, 10:04
mem hat geschrieben: ↑Mo 12. Jun 2023, 22:58Was wäre denn der meistverwendete bzw beste durchnittliche Querschnitt für/in unseren Auto?
Der "beste" Querschnitt ist der originale, wozu sollte man diesen ändern? Falls dieser nicht verfügbar ist, musst einen größeren verwenden. Wenn die Verbraucher (Radio, Scheinwerfer) mehr Strom ziehen als original, muss man bedenken, dass die Schalter auch nur gewisse Ströme schalten können, also sind eventuell Relaisschaltungen notwendig, sowie beim H4-Kabelbaum.
Ganz genau

und die Frage war: was ist der beste Querschnitt?
Es gibt Umrechnungsfaktoren von den damals verwendeten Kabeln auf heutige Querschnitte!!! Ich meine das das bzgl. der Widerstände sehr wichtig ist... ich komm grad einfach nicht drauf wie das heißt..... aber ich meine das Patrick da im Thema war... und auch Chris

Und ums ändern geht's ja auch gar nicht. Es geht z.B. ums reparieren, verlängern, hinzufügen etc.....
Re: Kabel, Stecker & Co.
Verfasst: Di 13. Jun 2023, 11:59
von cash667
Ich schreibe heute Abend was dazu, bin grad an der Arbeit.
Lg
Re: Kabel, Stecker & Co.
Verfasst: Di 13. Jun 2023, 12:00
von roland_t5
Ich verstehe nicht, was man hier umrechnen sollte. Die heutigen Kabel sind doch keinesfalls schlechter als damals, was die Leitfähigkeit betrifft. Aber vielleicht gibt es hier ja noch ein Erklärung dafür.
Sehe gerade, es soll da Etwas kommen, da bin ich gespannt.
Re: Kabel, Stecker & Co.
Verfasst: Di 13. Jun 2023, 13:12
von Braunschweiger
Auf der Seite von Martins Link gibt es eine Umrechnungstabelle.
https://www.autoelectricsupplies.de/pro ... category/2
Gruß Harald

- Umrechnungstabelle US in EU
- 2023061313090000.jpg (65.02 KiB) 1362 mal betrachtet
Re: Kabel, Stecker & Co.
Verfasst: Di 13. Jun 2023, 14:13
von sally67
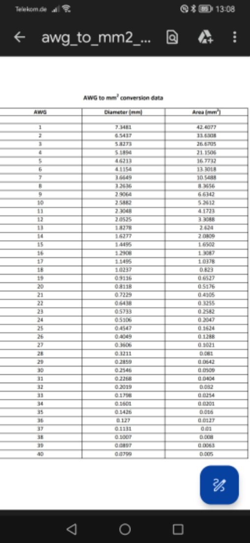
Da bei Harald noch Nebel ist,hier noch mal in Glasklar

Danke Harald
https://www.autoelectricsupplies.de/cms ... n_data.pdf
Gruß und
Re: Kabel, Stecker & Co.
Verfasst: Di 13. Jun 2023, 14:20
von roland_t5
Ok, danke, jetzt verstehe ich, was gemeint ist, die Amis haben andere Standardquerschnitte.
Man muss jetzt aber daraus keine Wissenschaft machen, trotzdem ist die Tabelle recht hilfreich.
Dass Durchmesser und Querschnitt zwei verschiedene Sachen sind, sollte klar sein.
Die Thematik Litzen oder Einzeldraht ist hier nicht relevant, man ersetzt / verlängert... ja Gleiches mit Gleichem, bei 12 Volt Gleichstrom ist das ohnehin kein großes Thema, würde ich mal behaupten.
Also Durchmesser möglichst genau messen, dann in der Tabelle schauen, was das für einem Querschnitt entspricht und dann eben mit den verfügbaren Querschnitten abgleichen. In der Regel "aufrunden", dann kann man nichts falsch machen, bei Wiki sind die üblichen AWG-Querschnitte und die europäischen Äquivalente in der Tabelle enthalten
https://de.wikipedia.org/wiki/American_Wire_Gauge
SG Roland
Re: Kabel, Stecker & Co.
Verfasst: Di 13. Jun 2023, 15:06
von mem
AWG

Wer liest ist klar im Vorteil
